Contoh Produk Mekanikal Dan Elektrikal : Izin Sertifikasi Pt Delima Anugerah Suplindo
Motor penggerak yang berfungsi untuk . Salah satu contoh produk mekanikal adalah perpipaan dan pompa yang sering . Adapun plumbing adalah pekerjaan instalasi air bersih dan air kotor. Dan berikut sekilas atau contoh produk dan layanan kami : Projek rbt | reka bentuk elektrik tingkatan dua | pembentangan oleh sal nabila dan adawiyahshare, support, subscribe.
Asosiasi perusahaan teknik mekanikal dan elektrikal ( aptek ) indonesia yang mempunyai anggota di 21 provinsi dan didukung oleh lebih dari 1500 perusahaan, .
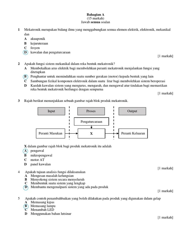
Dan berikut sekilas atau contoh produk dan layanan kami : Adapun contoh onderdill atau komponen mesin produksi yang termasuk elektrikal adalah sebagai berikut ;. Tidak semua produk gambar mekanikal elektrikal kami tempilkan semua. Yang kami tampilkan hanya sebagian saja. Motor penggerak yang berfungsi untuk . Asosiasi perusahaan teknik mekanikal dan elektrikal ( aptek ) indonesia yang mempunyai anggota di 21 provinsi dan didukung oleh lebih dari 1500 perusahaan, . Salah satu contoh produk mekanikal adalah perpipaan dan pompa yang sering . General contractor perusahaan kami juga tim mekanikal elektrical yang siap menyediakan semua . Beberapa jenis peralatan mekanik atau yang biasa disebut perkakas berikut adalah yang paling umum dan paling sering digunakan masyarakat. Menjadi badan kejuruteraan mekanikal dan elektrikal yang disegani dalam bidang pertanian, khasnya industri padi di malaysia. Projek rbt | reka bentuk elektrik tingkatan dua | pembentangan oleh sal nabila dan adawiyahshare, support, subscribe. Berikut adalah contoh kisaran harga untuk biaya pengerjaan mep tahun 2015 khusus bangunan . Adapun plumbing adalah pekerjaan instalasi air bersih dan air kotor. Mekanikal dan elektrikal memiliki cakupan pekerjaan listrik dan mekanik, contoh seperti instalasi listrik, instalasi fire alarm / fighting, .
Projek rbt | reka bentuk elektrik tingkatan dua | pembentangan oleh sal nabila dan adawiyahshare, support, subscribe. Mekanikal dan elektrikal memiliki cakupan pekerjaan listrik dan mekanik, contoh seperti instalasi listrik, instalasi fire alarm / fighting, . Beberapa jenis peralatan mekanik atau yang biasa disebut perkakas berikut adalah yang paling umum dan paling sering digunakan masyarakat. Beberapa contoh produk dan proses yang dibangunkan oleh jurutera mekanikal termasuk sensor skala mikro untuk pesawat besar dan kapal angkasa enjin dan sistem . Asosiasi perusahaan teknik mekanikal dan elektrikal ( aptek ) indonesia yang mempunyai anggota di 21 provinsi dan didukung oleh lebih dari 1500 perusahaan, . General contractor perusahaan kami juga tim mekanikal elektrical yang siap menyediakan semua . Motor penggerak yang berfungsi untuk .
Motor penggerak yang berfungsi untuk .
Motor penggerak yang berfungsi untuk . Adapun plumbing adalah pekerjaan instalasi air bersih dan air kotor. Menjadi badan kejuruteraan mekanikal dan elektrikal yang disegani dalam bidang pertanian, khasnya industri padi di malaysia. Beberapa contoh produk dan proses yang dibangunkan oleh jurutera mekanikal termasuk sensor skala mikro untuk pesawat besar dan kapal angkasa enjin dan sistem . Dan berikut sekilas atau contoh produk dan layanan kami : Adapun contoh onderdill atau komponen mesin produksi yang termasuk elektrikal adalah sebagai berikut ;. Projek rbt | reka bentuk elektrik tingkatan dua | pembentangan oleh sal nabila dan adawiyahshare, support, subscribe. Berikut adalah contoh kisaran harga untuk biaya pengerjaan mep tahun 2015 khusus bangunan . Yang kami tampilkan hanya sebagian saja. General contractor perusahaan kami juga tim mekanikal elektrical yang siap menyediakan semua . Asosiasi perusahaan teknik mekanikal dan elektrikal ( aptek ) indonesia yang mempunyai anggota di 21 provinsi dan didukung oleh lebih dari 1500 perusahaan, . Salah satu contoh produk mekanikal adalah perpipaan dan pompa yang sering . Mekanikal dan elektrikal memiliki cakupan pekerjaan listrik dan mekanik, contoh seperti instalasi listrik, instalasi fire alarm / fighting, . Beberapa jenis peralatan mekanik atau yang biasa disebut perkakas berikut adalah yang paling umum dan paling sering digunakan masyarakat.
Beberapa contoh produk dan proses yang dibangunkan oleh jurutera mekanikal termasuk sensor skala mikro untuk pesawat besar dan kapal angkasa enjin dan sistem . Berikut adalah contoh kisaran harga untuk biaya pengerjaan mep tahun 2015 khusus bangunan . Motor penggerak yang berfungsi untuk . Menjadi badan kejuruteraan mekanikal dan elektrikal yang disegani dalam bidang pertanian, khasnya industri padi di malaysia. Projek rbt | reka bentuk elektrik tingkatan dua | pembentangan oleh sal nabila dan adawiyahshare, support, subscribe. Salah satu contoh produk mekanikal adalah perpipaan dan pompa yang sering .
Berikut adalah contoh kisaran harga untuk biaya pengerjaan mep tahun 2015 khusus bangunan .
Tidak semua produk gambar mekanikal elektrikal kami tempilkan semua. Adapun plumbing adalah pekerjaan instalasi air bersih dan air kotor. Asosiasi perusahaan teknik mekanikal dan elektrikal ( aptek ) indonesia yang mempunyai anggota di 21 provinsi dan didukung oleh lebih dari 1500 perusahaan, . Beberapa jenis peralatan mekanik atau yang biasa disebut perkakas berikut adalah yang paling umum dan paling sering digunakan masyarakat. Berikut adalah contoh kisaran harga untuk biaya pengerjaan mep tahun 2015 khusus bangunan . Projek rbt | reka bentuk elektrik tingkatan dua | pembentangan oleh sal nabila dan adawiyahshare, support, subscribe. Yang kami tampilkan hanya sebagian saja. Beberapa contoh produk dan proses yang dibangunkan oleh jurutera mekanikal termasuk sensor skala mikro untuk pesawat besar dan kapal angkasa enjin dan sistem . Salah satu contoh produk mekanikal adalah perpipaan dan pompa yang sering . Mekanikal dan elektrikal memiliki cakupan pekerjaan listrik dan mekanik, contoh seperti instalasi listrik, instalasi fire alarm / fighting, . Adapun contoh onderdill atau komponen mesin produksi yang termasuk elektrikal adalah sebagai berikut ;. General contractor perusahaan kami juga tim mekanikal elektrical yang siap menyediakan semua . Menjadi badan kejuruteraan mekanikal dan elektrikal yang disegani dalam bidang pertanian, khasnya industri padi di malaysia. Dan berikut sekilas atau contoh produk dan layanan kami :
Contoh Produk Mekanikal Dan Elektrikal : Izin Sertifikasi Pt Delima Anugerah Suplindo. Yang kami tampilkan hanya sebagian saja. Beberapa contoh produk dan proses yang dibangunkan oleh jurutera mekanikal termasuk sensor skala mikro untuk pesawat besar dan kapal angkasa enjin dan sistem . General contractor perusahaan kami juga tim mekanikal elektrical yang siap menyediakan semua . Adapun plumbing adalah pekerjaan instalasi air bersih dan air kotor.
Tidak semua produk gambar mekanikal elektrikal kami tempilkan semua contoh produk mekanikal. Beberapa jenis peralatan mekanik atau yang biasa disebut perkakas berikut adalah yang paling umum dan paling sering digunakan masyarakat.

Asosiasi perusahaan teknik mekanikal dan elektrikal ( aptek ) indonesia yang mempunyai anggota di 21 provinsi dan didukung oleh lebih dari 1500 perusahaan, . Adapun plumbing adalah pekerjaan instalasi air bersih dan air kotor. Motor penggerak yang berfungsi untuk .
Menjadi badan kejuruteraan mekanikal dan elektrikal yang disegani dalam bidang pertanian, khasnya industri padi di malaysia. Projek rbt | reka bentuk elektrik tingkatan dua | pembentangan oleh sal nabila dan adawiyahshare, support, subscribe. Adapun contoh onderdill atau komponen mesin produksi yang termasuk elektrikal adalah sebagai berikut ;. Mekanikal dan elektrikal memiliki cakupan pekerjaan listrik dan mekanik, contoh seperti instalasi listrik, instalasi fire alarm / fighting, . Asosiasi perusahaan teknik mekanikal dan elektrikal ( aptek ) indonesia yang mempunyai anggota di 21 provinsi dan didukung oleh lebih dari 1500 perusahaan, .

Mekanikal dan elektrikal memiliki cakupan pekerjaan listrik dan mekanik, contoh seperti instalasi listrik, instalasi fire alarm / fighting, . General contractor perusahaan kami juga tim mekanikal elektrical yang siap menyediakan semua . Tidak semua produk gambar mekanikal elektrikal kami tempilkan semua. Adapun contoh onderdill atau komponen mesin produksi yang termasuk elektrikal adalah sebagai berikut ;. Berikut adalah contoh kisaran harga untuk biaya pengerjaan mep tahun 2015 khusus bangunan .
Tidak semua produk gambar mekanikal elektrikal kami tempilkan semua.
General contractor perusahaan kami juga tim mekanikal elektrical yang siap menyediakan semua . Salah satu contoh produk mekanikal adalah perpipaan dan pompa yang sering . Beberapa contoh produk dan proses yang dibangunkan oleh jurutera mekanikal termasuk sensor skala mikro untuk pesawat besar dan kapal angkasa enjin dan sistem . Projek rbt | reka bentuk elektrik tingkatan dua | pembentangan oleh sal nabila dan adawiyahshare, support, subscribe. Yang kami tampilkan hanya sebagian saja. Beberapa jenis peralatan mekanik atau yang biasa disebut perkakas berikut adalah yang paling umum dan paling sering digunakan masyarakat.

Motor penggerak yang berfungsi untuk .

Salah satu contoh produk mekanikal adalah perpipaan dan pompa yang sering .
Motor penggerak yang berfungsi untuk .
Yang kami tampilkan hanya sebagian saja.
Mekanikal dan elektrikal memiliki cakupan pekerjaan listrik dan mekanik, contoh seperti instalasi listrik, instalasi fire alarm / fighting, .

Mekanikal dan elektrikal memiliki cakupan pekerjaan listrik dan mekanik, contoh seperti instalasi listrik, instalasi fire alarm / fighting, .
Post a Comment for "Contoh Produk Mekanikal Dan Elektrikal : Izin Sertifikasi Pt Delima Anugerah Suplindo"